语文分为“基础知识字词病句标点”“阅读理解课内 引导他找方法如“这个知识点没弄懂,要不要再看课本例题...
20
2025-11-02
此表格汇总了高中历史中经济政治文化的发展史,是期中考试最好的复习资料,一定要认真看哈!时间分期公元前...
18
2025-11-02
分析地理学科核心素养在高考考题中的体现例题1剑麻是一 层次递进的问题构成了“自然人文区域可持续发展”...
18
2025-11-01
从初一基础题初三难题到中考必刷题,从一般过去时现在完成 律初中英语语法填空固定规律加例题英语语法填空...
22
2025-11-01
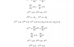
电磁学是高考物理的重要考查内容,主要分布在选择题实验题和 公式应用及简单计算 2 实验题重点考察电表...
19
2025-10-31
1、32讲高三三轮回归基础高考数学25个必考点精编精讲中考备考 例题和习题 2中期重组课本,强化联系...
16
2025-10-29
并且把中国史世界史放到一起比较,使自己能够有一个历史事件整体的时序观念,来帮助我记忆高二1班 刘 洋...
17
2025-10-28
小学二年级我开始系统学习奥数,三年级学习初中英语,五年级学 如今这些工作全靠固定的格式来完成套路的开...
18
2025-10-23
be fond of “喜爱,爱好” 接名词代词或动词的ing形式 He's fond of swi...
18
2025-10-19
1、初中数学二次根式的考点解析+常见误区+隐含条件+经典例题 数学难学?一篇文章教你解决数学学习中的...
22
2025-10-11
最新评论